今天笔者想跟伙伴们探讨一下楼板应力分析方法与应用,主要讲以下两个部分:①楼板温度效应分析;②楼板抗震性能化分析。
楼板温度效应分析
为解决混凝土收缩和环境温度变化对超长建筑的不利影响,主要有三种处理方法:
①按《混凝土结构设计规范》第8.1.1条的要求按一定的间距设置伸缩缝,这势必会影响建筑的整体效果,会给结构的防水、防风和保温等建筑构造带来诸多困难,同时地震引起结构在伸缩缝处的碰撞破坏现象较多,伸缩缝的设置削弱了结构的整体性;
②按《高层建筑混凝土结构技术规程》第12.2.3条的要求按一定的间距设置伸缩后浇带或膨胀加强带,亦或采用跳仓法将超长混凝土块体分为若干小块体间隔施工(主要释放早期混凝土收缩应力),必要时对结构合拢后的混凝土收缩和环境温度变化进行楼板温度效应分析;
③按《混凝土结构设计规范》第8.1.1条的伸缩缝间距要求设置U型槽(降板),分区段释放混凝土收缩和环境温度变化所引起的楼板应力,这种做法主要应用于水头较高的地下室底板,可结合结构排水沟设置U型槽。
以下为《混凝土结构设计规范》第8.1.1条、第8.1.3条及《高层建筑混凝土结构技术规程》第12.2.3条相关条文说明。
《混凝土结构设计规范》第8.1.1条:钢筋混凝土结构伸缩缝的最大间距可按表8.1.1确定。

注:
1、装配整体式结构的伸缩缝间距,可根据结构的具体情况取表中装配式结构与现浇式结构之间的数值;
2、框架-剪力墙结构或框架-核心筒结构房屋的伸缩缝间距,可根据结构的具体情况取表中框架结构与剪力墙结构之间的数值;
3、当屋面无保温或隔热措施时,框架结构、剪力墙结构的伸缩缝间距宜按表中露天栏的数值取用;
4、现浇挑檐、雨罩等外露结构的局部伸缩缝间距不宜大于12m。
《混凝土结构设计规范》第8.1.3条:如有充分依据对下列情况,本规范表8.1.1中的伸缩缝最大间距可适当增大:
1. 采取减小混凝土收缩或温度变化的措施;
2. 采用专门的预加应力或增配构造钢筋的措施;
3. 采用低收缩混凝土材料,采取跳仓浇筑、后浇带、控制缝等施工方法,并加强施工养护。
当伸缩缝间距增大较多时,尚应考虑温度变化和混凝土收缩对结构的影响。
《高层建筑混凝土结构技术规程》第12.2.3条:高层建筑地下室不宜设置变形缝。当地下室长度超过伸缩缝最大间距时,可考虑利用混凝土后期强度,降低水泥用量;也可每隔30m~40m设置贯通顶板、底部及墙板的施工后浇带。后浇带可设置在柱距三等分的中间范围内以及剪力墙附近,其方向宜与梁正交,沿竖向应在结构同跨内;底板及外墙的后浇带宜增设附加防水层;后浇带封闭时间宜滞后45d以上,其混凝土强度等级宜提高一级,并宜采用无收缩混凝土,低温入模。
前面提到当按《高层建筑混凝土结构技术规程》第12.2.3条的要求按一定的间距设置伸缩后浇带或膨胀加强带,亦或采用跳仓法将超长混凝土块体分为若干小块体间隔施工(主要释放早期混凝土收缩应力),必要时对结构合拢后的混凝土收缩和环境温度变化进行楼板温度效应分析,下面主要探讨一下楼板温度效应分析要点。
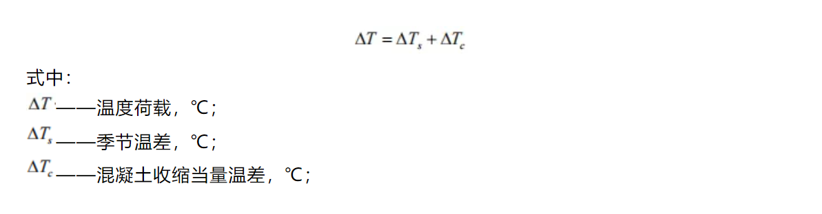
楼板温度效应分析中的温度荷载主要包括季节温差和混凝土收缩当量温差。

考虑到混凝土的收缩作用在升温工况下对结构产生有利影响,故对升温工况下的综合温差仅取季节最大升温温差,不予收缩当量温差相叠加。
季节温差指结构合拢或形成约束阶段的施工期温度和后期各阶段期间基本温度之间的差值。对于热传导速率较慢的混凝土结构,结构温度接近当地月平均温度,可直接采用月平均最高或最低温度作为基本温度。对于传导速率较快的金属结构,采用日平均最高或最低温度作为基本温度,这也是钢结构的季节温差较混凝土结构大的主要原因。

结构合拢的时间决定了结构初始温度,出于结构对温度升降综合性能的考虑,应尽量将后浇带的封闭时间选在春秋两个温度适宜的季节。当事先无法确定结构物合拢时的温度,可根据地勘提供的气象资料并结合工程的实际情况,取年平均温度作为结构合拢时的温度。
混凝土收缩当量温差指结构合拢后混凝土残余收缩变形所换算成的等效温差。

从建筑主体结构施工到建筑物投入使用,温度作用大致可以分为四个阶段:1)主体结构处于施工阶段;2)主体结构刚刚封顶但未进行围护阶段(对于露天结构,则为完成覆土或保温隔热层);3)建筑围护完成但还未投入使用阶段;4)建筑物投入使用阶段。一般情况第二阶段是温度应力影响的最不利阶段,可仅需对此不利阶段进行楼板温度效应分析。
假设t1天后结构合拢时,混凝土已发生的收缩变形,t2天后进行围护时,混凝土已发生的收缩变形,则混凝土残余收缩变形为



下面我们对比一下标准条件下(修正系数),不同结构合拢时间及围护时间的混凝土残余收缩变形、混凝土收缩当量温差的变化。


从以上计算结果可知,混凝土收缩变形的规律是先快后慢,在开始两周内可完成全部收缩量的15%左右,一个月约可完成40%左右,三个月后收缩减慢,六个月可完成全部收缩量的80%~90%。为尽可能地减小混凝土残余收缩的影响,尽量延长结构合拢时间及提前进行围护结构,对于露天结构,则提前完成覆土或保温隔热层。
以上主要探讨楼板温度效应分析中的温度荷载计算,下面讲一下温度荷载作用下楼板应力分析及设计注意要点。
混凝土构件受拉区可能出现裂缝,构件的截面刚度将受到裂缝的很大影响。对超静定结构,结构的变形性能和构件间的内力分布受到截面刚度变化的影响。考虑混凝土为弹塑性材料,同时在正常使用状态下,混凝土构件一般为带裂缝工作,裂缝的存在会造成刚度退化,通常混凝土构件刚度折减系数取值为0.85。楼板温度应力分析中,可直接对混凝土弹性模量进行折减取值。
此外由于徐变的存在,混凝土约束构件的内力随时间的延长而逐渐减小,即应力松弛现象。对于结构温度作用,由于是一个与时间有关的缓慢的变化过程,因此需要考虑徐变对楼板温度应力的松弛影响。由于弹性连续假定,可将计算温度应力值乘以应力松弛系数来修正计算结果。参考王铁梦大师著作《工程结构裂缝控制》,徐变应力松弛系数取0.3。

楼板应力分析及设计原则:①计算模拟中楼板平面内刚度按实际厚度,平面外刚度取0(即弹性膜);②一旦温度荷载单工况下的楼板拉应力标准值超过混凝土抗拉强度标准值,则需配置温度筋,因此时混凝土已开裂,丧失了抗拉能力,故此配置的温度筋应承担全部温度应力(0.9为温度效应设计值综合系数,即1.5x0.6=0.9),竖向荷载作用下的钢筋作为附加钢筋。

楼板抗震性能化分析
楼板作为水平抗侧力构件,在承受和传递竖向力的同时,把水平力传递和分配给竖向抗侧力构件,协调同一楼层中竖向构件的变形,使建筑物形成一个完整的抗侧力体系。 《建筑抗震设计规范》第6.1.14条和《高层建筑混凝土结构技术规范》第5.3.7条均指出上部结构嵌固端必须具备足够的平面内刚度,以有效传递地震基底剪力,应避免开设大洞口。但对于洞口大小、楼板开洞率以及洞口位置规范尚未定量表述,故设计人员难以根据开洞情况判别地下室顶板能否作为上部结构嵌固端。若忽略开洞的影响,仍将嵌固端默认设置在地下室顶板,则会在上部结构的计算设计上存在安全隐患,但盲目将嵌固端下移则在经济上造成了一定损失。
但《建筑抗震设计规程》(上海市标准)第6.1.17条文说明提到:作为上部结构嵌固端的地下室顶板,一般洞口面积不宜大于顶板面积的30%,且洞口边缘与主体结构的距离不宜太近,当不满足该要求时,应详细分析顶板应力,并采用合适的加强措施后才可将顶板作为上部结构嵌固端。
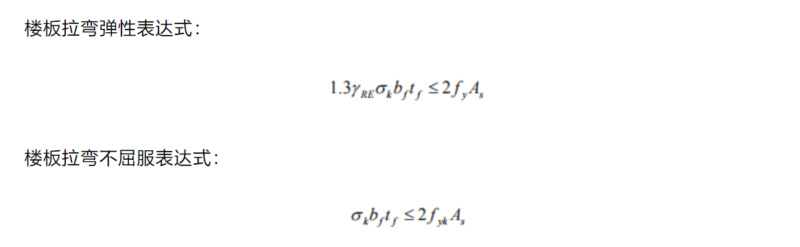
地下室顶板开洞对上部结构嵌固端的影响,一般情况下可从以下2个方面进行嵌固能力分析:①比较地下室顶板开洞模型与不开洞模型的结构振动特性及其洞口周边竖向构件在地下室顶板处的水平变形;②地震作用下地下室顶板楼板应力分析(小震不开裂、中震抗弯不屈服抗剪弹性、大震抗剪不屈服)。
此外,在水平地震作用下,加强层楼板、转换层楼板、多塔楼大底盘屋面板、单向少墙的剪力墙结构楼板、薄弱连接板(细腰连接板、大开洞连接板、双筒连接板等)、倾斜结构楼板等楼板面内可能会产生较大的轴向力和剪力,必要时亦应进行楼板抗震性能化分析。
下面讲一下考虑水平地震作用的荷载组合工况及楼板应力分析及设计原则。

楼板应力分析及设计原则:①计算模拟中楼板平面内刚度按实际厚度,平面外刚度取0(即弹性膜);②楼板最大主剪应力由混凝土来承担,验算楼板厚度;③当水平地震单工况下的楼板拉应力标准值超过混凝土抗拉强度标准值,则需配置钢筋,因此时混凝土已开裂,丧失了抗拉能力,故此配置的钢筋量应承担地震作用下全部楼板应力,竖向荷载作用下的计算钢筋作为附加钢筋(保守忽略考虑水平地震作用荷载组合中的竖向荷载组合系数与仅考虑竖向荷载作用下荷载组合不一致)。



楼板应力分析方法除了以上应用于楼板温度效应分析及楼板抗震性能化分析,还常应用于竖向荷载作用下斜柱(墙)转换、大跨桁架、悬挑桁架等结构的楼板拉应力分析及一些非常规楼盖体系(如无梁楼盖体系、加腋大板体系等)的楼板弯应力分析。下面主要讲一下竖向荷载作用下斜柱(墙)转换的楼板拉应力分析及设计原则(大跨桁架、悬挑桁架等结构的楼板拉应力分析相似)。

楼板应力分析及设计原则:①计算模拟中楼板平面内刚度按实际厚度,平面外刚度取0(即弹性膜);②一旦竖向荷载工况下的楼板拉应力标准值超过混凝土抗拉强度标准值,则需配置钢筋,因此时混凝土已开裂,丧失了抗拉能力,故此配置的钢筋量应承担全部竖向荷载作用下的楼板轴向拉应力(楼板平面内),竖向荷载作用下楼板纯受弯(楼板平面外)所计算的钢筋作为附加钢筋。

以上是《楼板应力分析方法与应用》的全部内容,文中可能有很多说法缺严谨,欢迎伙伴们留言拍砖!
文章转载至微信公众号扯结构 ,作者王仕成(已获得转载权)
小智审图团队成立于2017年9月,位于中国10个软件产业基地之一、国家软件出口创新基地 —— 成都天府软件园。团队成立以来,一直秉承“科技改变设计”的理念,专注于为建筑设计领域的企业和个人提供科技产品的创新和服务。
联系地址:四川省成都市高新区天府软件园D区
客服邮箱:xiaozhishentu@qq.com
客服 QQ:832658570

微信扫码添加客服
微信扫码添加客服为好友