做结构设计,相信对抗剪截面限制条件(剪压比)都不会陌生。但是,如果构件中加了钢骨,抗剪截面限制条件会有什么改变?罕遇地震下,构件截面抗剪限制条件又有什么不同?楼板抗剪如何限定?中震抗剪不屈服、大震抗剪弹性,是否需要验算抗剪截面限制条件?
今天,我们一起来看看这些问题。
1、钢筋混凝土构件
翻到《混规》6.3.1条,矩形、T形和I形截面受弯构件的受剪截面应符合下列条件:

我们知道,梁的斜截面受剪破坏有三种形式,分别是斜压破坏、剪压破坏、斜拉破坏。梁的斜截面受剪承载力计算公式是针对剪压破坏确定的,因此具有一定的适用范围,也就是说,公式有其上下限值。
上限值即上述规定的截面限制条件,是为了避免斜压破坏,也就是说,在这种情况下,再加大箍筋,也是无济于事的;而下限值即箍筋的最小配筋率,是为了避免斜拉破坏。
《混规》6.3.11条,矩形、T形和I形截面的钢筋混凝土偏心受压构件和偏心受拉构件,其受剪截面应符合6.3.1条规定。
《混规》6.3.20条,钢筋混凝土剪力墙的受剪截面应符合下列条件:

《混规》6.4.1条,在弯矩、剪力、扭矩共同作用下,矩形、T形、I形截面和箱型截面的截面限制条件为:

另外,《混规》6.5.3条、6.6.1条分别规定了板受冲切及局部受压时的截面限制条件。
考虑地震组合时,抗剪截面限制条件会有所不同,其一,考虑抗震调整系数;其二,区分跨高比、剪跨比等;其三,适当降低系数,比如由0.25调整为0.20,降低系数的主要原因可能是考虑到地震往复作用的不利性。

斜截面破坏形式与剪跨比有关,截面限制条件自然也与剪跨比有关,只是,对于受弯为主的梁式构件,用了剪跨比的简化表达方式——跨高比来区分而已。
连梁由于它的特殊性,抗剪截面很容易超限,对此,我们应该注意到一条关于连梁抗剪截面放宽的条件。
《混规》11.7.10条,当a)连梁截面宽度不小于250mm,采用交叉斜筋配筋;b)截面宽度不小于400mm,采用集中对角斜筋或对角暗撑配筋时,截面限制条件为:

至此,对普通的钢筋混凝土构件,截面限制条件基本如上所述,《高规》、《抗规》与《混规》一致。我们都很清楚,抗剪截面限制条件和钢筋(纵筋及箍筋)没关系。
很多时候,抗剪截面搞不定,我们想通过增加钢骨来解决。接着看…
参考《组合结构设计规范》(J130—2016):
2、型钢混凝土梁、柱

从上面可以看到,在普通钢筋混凝土框架梁、框架柱中加了钢骨之后,抗剪截面限制条件有所放宽(系数为未加钢骨截面的1.8倍),但取消了剪跨比对限值的分类。对框架梁、框架柱,钢骨配置有最低要求,达到最低要求之后,再增加钢骨截面,对抗剪截面限制条件无影响。
我们来看一下,混凝土框架梁柱截面腹板的最小含钢率,型钢按Q345,混凝土按C40,则最小含钢率为0.62%,如果按C60计算,最小含钢率为0.89%;
我们选几个型钢混凝土构件截面,算算看:
1、型钢混凝土梁(C40+Q345),700X1000X30X700X350X40,ρ=2.87%;
2、型钢混凝土柱(C60+Q345),700X700X20X400X400X40,ρ=1.46%;
3、型钢混凝土柱(C60+Q345),1200X1200X30X38X700X500,ρ=1.39%;
4、型钢混凝土梁(C40+Q345),800X1000X30X700X400X60,ρ=2.35%;
根据计算,一般情况下,腹板的最小含钢率是很容易满足的,基本不用理会。
3、型钢混凝土剪力墙、钢板墙

为剪力墙一端所配型钢的截面面积,当两端所配型钢截面面积不同时,取较小一端的面积。

Ap为剪力墙面内配置的钢板截面面积
钢板混凝土剪力墙受剪性能试验表明,即使剪力超过了钢筋混凝土的截面抗剪限制条件,由于钢板的存在,并未出现斜压破坏的情况,还是表现为剪压破坏的特征。因此本条规定钢板混凝土剪力墙的受剪截面限制条件中的剪力设计值仅考虑墙肢截面钢筋混凝土部分承受的剪力值。
对型钢混凝土剪力墙和钢板混凝土剪力墙,截面限制条件右侧没有改变,不同的是,公式的左侧,仅提取剪力墙混凝土部分承受的剪力设计值,在计算这一部分时,和型钢截面面积有关。
也就是说,在一定范围内,加大型钢截面,对型钢混凝土剪力墙和钢板混凝土剪力墙的抗剪截面验算,是有用的,这是一个突破(相比2001组合规范)。注意看加阴影的这两个公式,在扣除型钢和钢板剪力的时候,前一个公式没有考虑抗震调整系数,后一个公式则考虑了抗震调整系数,从逻辑上来说,第二个公式是有问题的。
4、性能化设计
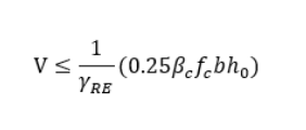
《高规》性能化设计,在罕遇地震下,竖向构件抗剪截面验算按如下两个公式:

对不同的构件类型,不同的性能目标,构件重要性系数和剪压比系数剪压比系数对应性能水准3、性能水准4、性能水准5,取值分别为0.133,0.15,0.167.
以上两本规范的主要分歧在于,对钢-混凝土组合剪力墙,截面验算时,是否考虑型钢,明显地,《高规》与《组合结构设计规范》在逻辑上是比较契合的。但《高规》中考虑型钢与钢板时前面的系数0.25及0.15是如何确定的,与《组合设计规范》是什么关系,有待讨论。
对一些关键部位的楼板,可能也需要性能化设计,目前规范中未看到楼板的抗剪截面限定条件,深圳超限专家建议,在罕遇地震作用下楼板抗剪不屈服时,楼板抗剪验算公式为:

实际操作中,也有设计院参考《高规》钢筋混凝土竖向构件抗剪截面验算公式对楼板进行验算。
之前审查别人的超限报告,在验算中震抗剪弹性、大震抗剪不屈服时,有的工程师只计算了抗剪截面,这显然是不合适的,因为抗剪承载力验算是比抗剪截面更高一级的要求。
也有些工程师,只计算抗剪承载力,不算抗剪截面,如果抗剪承载力不足,就提高箍筋配置,当箍筋配置过大时,会出现抗剪承载力大于抗剪截面的上限,这也是不合理的。
因此,当我们验算抗剪的时候,抗剪承载力和抗剪截面往往是需要同时复核的。
5、结论
抗剪截面限制条件可划分为三个层次:
1、普通钢筋混凝土构件;
2、型钢混凝土梁、柱,抗剪截面限制条件有所放宽,但和型钢截面面积关系不大,属于从公式右侧着手;
3、型钢混凝土剪力墙、钢板剪力墙,抗剪截面限制条件与型钢截面面积有关,属于从公式左侧着手。
验算抗剪弹性和抗剪不屈服的时候,抗剪承载力和抗剪截面需要同时复核。
文章已获转载权,转载至微信公众号【JIE构生活】 ,作者鲲鹏
小智审图团队成立于2017年9月,位于中国10个软件产业基地之一、国家软件出口创新基地 —— 成都天府软件园。团队成立以来,一直秉承“科技改变设计”的理念,专注于为建筑设计领域的企业和个人提供科技产品的创新和服务。
联系地址:四川省成都市高新区天府软件园D区
客服邮箱:xiaozhishentu@qq.com
客服 QQ:832658570

微信扫码添加客服
微信扫码添加客服为好友